排列组合公式大全,排列组合的公式
最后更新 :2022.07.28 15:38
提起排列组合公式大全,大家都知道,有人问排列组合的公式,另外,还有人想问排列组合有哪些公式?,你知道这是怎么回事?其实排列组合的公式?,下面就一起来看看排列组合的公式,希望能够帮助到大家!
排列组合公式大全
1、排列组合的公式
排列组合计算公式如下:常用排列组合公式大全。
1、从n个不同元素中取出m(m≤n)个元素的所有排列的个数,叫做从n个不同元素中取出m个元素的排列数,用号A(n,m)表示。
2、从n个不同元素中,任取m(m≤n)个元素并成一组,叫做从n个不同元素中取出m个元素的一个组合;从n个不同元素中取出m(m≤n)个元素的所有组合的个数,叫做从n个不同元素中取出m个元素的组合数。用号C(n,m)表示。排列组合二十种经典解法。
排列就是指从给定个数的元素中取出指定个数的元素进行排序。组合则是指从给定个数的元素中仅仅取出指定个数的元素,不考虑排序。
排列组合的中心问题是研究给定要求的排列和组合可能出现的情况总数。排列组合与古典概率论关系密切。
排列组合的发展历程:
根据组合学研究与发展的现状,它可以分为如下五个分支:经典组合学、组合设计、组合序、图与超图和组合多面形与**化。
由于组合学所涉及的范围触及到几乎所有数学分支,也许和数学本身一样不大可能建立一种统一的理论。
然而,如何在上述的五个分支的基础上建立一些统一的理论,或者从组合学中独立出来形成数学的一些新分支将是对21世纪数学家们提出的一个新的挑战。
排列组合的公式?

2、排列组合有哪些公式?
Anm(n在下,m在上)
组合数:从n个中取m个,相当于不排,就是n!/[(n-m)!m!],Cnm(n在下,m在上)

3、排列组合的公式?
请采纳。

4、排列组合公式计算公式是什么?
排列组合公式计算公式大全如下所示。
1、排列及计算公式
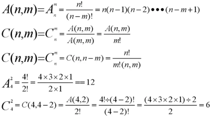
从n个不同元素中,任取m(m≤n)个元素按照一定的顺序排成一列,叫做从n个不同元素中取出m个元素的一个排列;从n个不同元素中取出m(m≤n)个元素的所有排列的个数,叫做从n个不同元素中取出m个元素的排列数,用号p(n,m)表示。p(n,m)=n(n-1)(n-2)…(n-m+1)=n!/(n-m)!(规定0!=1)。
2、组合及计算公式C上3下4怎么算。
从n个不同元素中,任取m(m≤n)个元素并成一组,叫做从n个不同元素中取出m个元素的一个组合;从n个不同元素中取出m(m≤n)个元素的所有组合的个数,叫做从n个不同元素中取出m个元素的组合数。常见排列组合数表。
用号c(n,m)表示,c(n,m)=p(n,m)/m!=n!/((n-m)!*m!),c(n,m)=c(n,n-m)。
3.其他排列与组合公式A下标为8上为6。
从n个元素中取出r个元素的循环排列数=p(n,r)/r=n!/r(n-r)!。n个元素被分成k类,每类的个数分别是n1,n2,…nk这n个元素的全排列数为n!/(n1!*n2!*…*nk!)。k类元素,每类的个数无限,从中取出m个元素的组合数为c(m+k-1,m)。排列(Pnm(n为下标,m为上标))
Pnm=n×(n-1)-(n-m+1);Pnm=n!/(n-m)!(注:!是阶乘号);Pnn(两个n分别为上标和下标)=n!;0!=1。
Pn1(n为下标1为上标)=n组合(Cnm(n为下标,m为上标))Cnm=Pnm/Pmm;Cnm=n!/m!(n-m)!;Cnn(两个n分别为上标和下标)=1;Cn1(n为下标1为上标)=n;Cnm=Cnn-m。
以上就是与排列组合的公式相关内容,是关于排列组合的公式的分享。看完排列组合公式大全后,希望这对大家有所帮助!
带车的字有哪些字
在汉字的奇妙世界里,带“车”的字犹如璀璨繁星,各具特色,蕴含着丰富的文化内涵和历史底蕴。这些字不仅展现了车在不同时期的形态、用途及演变,更从侧面反映了人类社会...
水瓶女为什么那么悲伤 水瓶女很可怕为什么
我需要理解水瓶座女性的特点。水瓶座通常被认为是理性和独立的,但她们也有情感细腻的一面。悲伤可能来源于她们内心的矛盾或者外界的压力。接下来,我要考虑文章的结构。可能分为几个部分,比如理性与感性的冲突、对自由的...
9月哪个日子最好 九月哪个日子最好
《探寻9月哪个日子最好》 在人们的生活中,9月往往被赋予了特殊的意义。无论是从传统习俗、气象条件,还是个人情感等多个角度来看,9月的不同日子都有着各自独特的魅力。 一、传统习俗中的9月吉日 1. 嫁娶方面 - 在2024...
凌这个名字怎么样 凌字取名怎么样
凌这个名字怎么样 在中国文化中,名字不仅是一个人的标识,还承载着家族的期望和个人的寓意。本文将从名字的构成、寓意、五行等方面,全面解析“凌”这个名字的含义和影响。名字的构成与寓意姓与名的组合名字由姓和名两部...
森在名字里是什么意思 森这个名字的含义
森在名字里是什么意思 在名字中,“森”这个字具有丰富而深刻的含义,它承载着人们对未来的美好期许和祝愿。 “森”字本义是指树木丛生繁密。泛指树木众多,由此引申出众多、繁盛之意。用作人名时,寓意着富有生命力、财源茂...
带孙子为什么是情感责任 为什么带孙子还遭儿子嫌弃
人类情感为什么要沟通1. 建立和维护人际关系沟通是建立和维护人际关系的基础。通过沟通,我们可以了解他人的内心世界,建立起相互信任与理解的关系,从而促进人际关系的发展。人是社会的动物,社会是人与人相互作用的产物,因...
八种风水最好的别墅庭院格局
古时候很多事情,人们无法了解其原理,就只能寄托于玄学之中。古时大户人家建造私人住宅往往...
2020哪个生肖添丁(2020年是哪个生肖)
2020年,是一个充满变数的一年。受到新型冠状病毒的影响,整个社会都在经历着巨大的挑战和变...
取名字最好的yi字是哪个(名字取几个字最好)
在中国文化中,起名字是非常重要的。特别是在孩子出生时,给孩子取一个好名字不仅仅是一个简...
如何看一个字属于五行的哪个(如何确定一个字的五行)
想要判断一个字属于哪个五行,需要先了解一下五行的概念。五行是中国古代哲学中最基本的分...
姣和娇哪个好(娇和姣哪个更好)
姣和娇一直是讨论男女美貌的话题,人们喜欢拿他们做比较。但事实上,姣和娇两者都有着不同的...
花钱挣钱存钱哪个重要(存钱和花钱哪个更有乐趣)
花钱挣钱存钱三者之间并没有绝对的重要性,而是需要根据个人的情况和目标来选择适合自己的...
六爻卦如何测人的年龄 六爻怎么看年龄
各位老铁们好,相信很多人对六爻卦如何测人的年龄都不是特别的了解,因此呢,今天就来为大家分...
马年2022财运方位查询 2022年属马人财运方位
大家好,如果您还对马年2022财运方位查询不太了解,没有关系,今天就由本站为大家分享马年2022...
佛坠摆放方位 佛珠摆放方位
大家好,如果您还对佛坠摆放方位不太了解,没有关系,今天就由本站为大家分享佛坠摆放方位的知...
唐三偷喝宁荣荣乳液污黄文,斗罗大陆之千仞雪乳喷
提起唐三偷喝宁荣荣乳液污黄文,大家都知道,有人问斗罗之千仞雪乳喷,另外,还有人想问斗罗之宁...
骅的五行属性是什么
名字当中用辈分字起名是我们中国的一个传统,表明了一个家族的血脉一脉相承,还可以用来区分一个家族几代人旁系之间的辈分,让所有的大家族之间有了一张关系很清晰的分类图。杰字五行属木,木-曰“曲直”。好华美,且具有风雅...
牛年带水和木男孩的名字(牛年带水带木的男孩名字)
2020马上就要结束了,2021即将到来,在新一年初始之时降生的新生儿气运是非常好的,在这个时间...
人在运气不好的时候怎么转运 运气不好怎么转运
生活中总有不如我们意的事情发生,这些事情发生之后就会产生蝴蝶效应,让我们做什么事情都不...
星座表十二星座表的性格 史上最全最准的星座分析
一个人的性格如何,便大致决定了他这一生的命运走向。星座表十二星座表的性格是最为详细的...
2022年男孩虎宝宝名字,2022虎年男宝宝更佳取名
2022年男孩虎宝宝名字 标题: 家长在给宝宝取名的时候往往会注重是否好听,却忽视其他,其实给...
属羊和属什么相冲,羊和什么生肖相冲相克
属羊和属什么相冲 生肖羊的人多数心地善良,懂得为人着想,做事情考虑周到,懂得换位思考,是一...
小运播报生肖运势天天看,12生肖每日运程运势
小运播报生肖运势天天看 小运播报:2022 年1月8日,星期一,十一月廿二日(丁酉年癸丑月庚子日)。...
属马人逢牛年运势,2022 年牛年对属马的好不好
属马人逢牛年运势属马的人逢鼠年 其年运行偏穴,天空月空,丧事全来,口舌是非常有,词讼辛难恐...
有胎记的孩子是什么投胎来的,有胎记的孩子是来报恩的吗
有胎记的孩子是什么投胎来的 文 | 齐姐育儿 本文为 ,欢迎个人分享~ 一个小生命的降临预示...
77属蛇在2022年怎么样,2022年属蛇人的全年每月
77属蛇在2022年怎么样 胜利和好运都不是随意得来的,老话说三分天必定七分靠打拼。只...
94年属狗女何时有姻缘,94年属狗的姻缘晚婚
94年属狗女何时有姻缘属狗1982年出生2022 年有婚讯桃花运吗?1982年的属狗的人在2022 年里...
76年属龙人11月运势,属龙2022 年11月份的运势
76年属龙人11月运势 属龙的人,非常能干,不相信人性,只信利益,并且能吃苦,并且非常能干。进入1...
64年龙今年运势,1964年属龙人三大劫难
64年龙今年运势 越是泥泞的道路,留下的足迹越清晰;越是陡峭的山峰,看到的景致越美妙!世上没...
龙和羊在一起对谁不利,生辰龙对生辰羊
龙和羊在一起对谁不利 很多人结婚之前都要对两个人的生辰八字进行合婚,其中最应该核对的...
94狗和94狗合不合,狗和狗生肖做夫妻好吗
94狗和94狗合不合 关键词:迷信 题主:女 问:我,93年,165cm,55kg,姐妹俩,在理财公司上班。他,94年,17...
2022属龙的人今年运气怎么样,2022 年属龙人的全年运势女
2022属龙的人今年运气怎么样 属龙天蝎座个性坚毅骁勇,有他们在的场所,气氛会比拟严肃...
属虎的女人更佳婚配,属龙的女孩更佳婚配
属虎的女人更佳婚配 74年属虎的女人婚姻幸福吗?虎年出生的人在我们的生活当中非常有主见,...
十二生肖运势每日运程,我想知道今年十二生肖每月的运程
十二生肖运势每日运程 今日运势预测: 1生肖鼠:今日子巳暗合日,运势小顺,外出远行要注意休息...
96年农历9月出生的鼠好不好,生肖鼠农历几月出生好
96年农历9月出生的鼠好不好 不同月份的属相拥有着不同的运气,就算是同一个属相出生的时间...
73属牛一生带好运的微信头像,73属牛聚财的微信名
73属牛一生带好运的微信头像 1、属鼠:适合用黄色背景的图片,风景照和各种艺术照可作为优选...
1996年属鼠人什么时候结婚好,96年属鼠2022年哪个月结婚好
1996年属鼠人什么时候结婚好 时间来来去去,一年又一年如今1996年出生的属鼠人已经到了可...
十二生肖更佳姻缘配对,十二生肖出生年份表
十二生肖更佳姻缘配对 如今有许多人都相信生肖对人生的影响,当然对于婚姻也是如此,十二生...
76年龙2022 运势,1976年属龙人2022
76年龙2022 运势 2022 年76年属龙人的运势 属龙人由于2022 年破太岁的影响,本年度的76年...
鬼谷子的最后一个预言,四大预言最后一个2022年
鬼谷子的最后一个预言 前言:中华文化源远流长,占卜、术数、天文、地理、儒释道超脱世俗,岐...
- 数据加载中,请稍后...