排列组合和常见的5个公式,排列组合的公式是什么?
最后更新 :2022.08.06 12:08
提起排列组合和常见的5个公式,大家都知道,有人问排列组合的公式是什么?,另外,还有人想问排列组合的公式,你知道这是怎么回事?其实排列组合和常见的5个公式,下面就一起来看看排列组合的公式是什么?,希望能够帮助到大家!
排列组合和常见的5个公式
1、排列组合的公式是什么?
排列组合是组合学最基本的概念公式,从n个中取m个排一下,有n(n-1)(n-2)…(n-m+1)种,即n/(n-m)。排列组合计算公式从n个不同元素中取出m(m≤n)个元素的所有排列的个数。
从n个不同元素中,任取m(m≤n)个元素并成一组,叫做从n个不同元素中取出m个元素的一个组合;从n个不同元素中取出m(m≤n)个元素的所有组合的个数,叫做从n个不同元素中取出m个元素的组合数。用号C(n,m)表示。常用排列组合公式大全。
根据组合学研究与发展的现状,它可以分为如下五个分支:经典组合学、组合设计、组合序、图与超图和组合多面形与**化。排列组合的数学公式。
由于组合学所涉及的范围触及到几乎所有数学分支,也许和数学本身一样不大可能建立一种统一的理论。然而,如何在上述的五个分支的基础上建立一些统一的理论,或者从组合学中独立出来形成数学的一些新分支将是对21世纪数学家们提出的一个新的挑战。二项式排列组合公式。
排列组合和常见的5个公式

2、排列组合的公式
排列组合计算公式如下:
1、从n个不同元素中取出m(m≤n)个元素的所有排列的个数,叫做从n个不同元素中取出m个元素的排列数,用号A(n,m)表示。
2、从n个不同元素中,任取m(m≤n)个元素并成一组,叫做从n个不同元素中取出m个元素的一个组合;从n个不同元素中取出m(m≤n)个元素的所有组合的个数,叫做从n个不同元素中取出m个元素的组合数。用号C(n,m)表示。
排列就是指从给定个数的元素中取出指定个数的元素进行排序。组合则是指从给定个数的元素中仅仅取出指定个数的元素,不考虑排序。5个数字排列组合公式。
排列组合的中心问题是研究给定要求的排列和组合可能出现的情况总数。排列组合与古典概率论关系密切。小学三年级数学排列组合题。
排列组合的发展历程:
根据组合学研究与发展的现状,它可以分为如下五个分支:经典组合学、组合设计、组合序、图与超图和组合多面形与**化。
由于组合学所涉及的范围触及到几乎所有数学分支,也许和数学本身一样不大可能建立一种统一的理论。
然而,如何在上述的五个分支的基础上建立一些统一的理论,或者从组合学中独立出来形成数学的一些新分支将是对21世纪数学家们提出的一个新的挑战。

3、排列组合和常见的5个公式
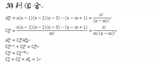
排列组合和常见的5个公式为0!=1,C(n,m)=C(n,n-m),C(n+1,m)=C(n,m)+C(n,m-1),C(n,r)+C(n,r+1)=C(n+1,r+1),C(n,0)+C(n,1)+C(n,2)+…+C(n,n)=2^n。排列组合是组合学最基本的概念。所谓排列,就是指从给定个数的元素中取出指定个数的元素进行排序。组合则是指从给定个数的元素中仅仅取出指定个数的元素,不考虑排序。排列组合的中心问题是研究给定要求的排列和组合可能出现的情况总数。排列组合与古典概率论关系密切。
以上就是与排列组合的公式是什么?相关内容,是关于排列组合的公式是什么?的分享。看完排列组合和常见的5个公式后,希望这对大家有所帮助!
厨房位置在哪个方向好 西北角是厨房却大富大贵
厨房位置在哪个方向好:风水与实用性的综合考量一、引言厨房在家庭中扮演着至关重要的角色,它不仅是烹饪美食的场所,还与家庭的生活品质、运势等方面有着千丝万缕的联系。在考虑厨房位置的时候,我们既要从传统文化中的风水...
李奥这个名字怎么样 李奥名字好吗
李奥这个名字怎么样 李奥名字的含义和起源 李奥这个名字由两个汉字组成,分别是“李”和“奥”。在中国文化中,“李”是一个非常普遍的姓氏,而“奥”则可以指屋内西南角,也泛指房屋深处,后引申指含义深,不容易懂。因此,李奥这...
昊天这个名字怎么样 昊天这个名字好吗?
昊天这个名字怎么样 在为孩子取名时,名字的选择往往承载着父母对孩子未来的期望和祝福。“昊天”这个名字,近年来受到了不少家长的关注,那么它究竟怎么样呢? 从名字的寓意来看,“昊天”有着极其深远和美好的内涵。“昊”字...
为什么有些人敢于表达情感 为什么有些人不会表达感情
为什么有些人敢于表达情感1. 情绪自由的重要性有些人敢于表达情感,可能是因为他们认识到“情绪自由”的重要性。情绪自由是指能够自由表达自己的喜怒哀乐,而不是压抑或隐藏情绪。敢于表达情感的人认为,用合理的方式表达...
广东哪里占卦(广东哪里离香港最近)
广东哪里占卦:探寻古老智慧与现代生活的交融 在广东,占卦作为一种古老的传统文化,自古以来便深受人们的信赖与追捧。在这片富饶的土地上,许多地方都保留着占卦的传统,成为当地文化的一大特色。 占卦,又称占卜,是一种通过特定...
科技小院,直通人才大道
天津农学院农学与资源环境学院种子科学与工程系副教授赵飞: “有的学生就是通过在科技...
兔年与哪个生肖相冲(兔年哪个生肖犯太岁)
在农历的十二生肖中,每一个生肖都代表着一年。而每一年也有着自己独特的祥和和平的意义。...
哪个节气可以结婚吗(哪个节气适合结婚)
在中国,婚姻是一个非常重要的社会事件。许多人关注着婚姻的时间和地点。而对于中国人来说...
狗生肖最配的是哪个好(生肖狗做什么事业比较好)
狗生肖最配的是哪个好 据说,属狗人在十二生肖中是最忠诚、可靠和勇敢的。配对方面,属狗人...
为什么蛇被甩(为什么怕蛇) 为什么蛇会害怕捕蛇人
蛇是一种国内外广泛分布的爬行动物,其特殊的身体结构让它们能够迅速地攀爬、游泳和爬行前...
流年运势免费测算2019年 流年运势测算2021
2019年流年运势免费测算 问题1:你的生肖是什么? 我的生肖是:(填入你的生肖) 问题2:你的星座是...
二零二一年一百岁属什么生肖 2020年一百岁属什么
大家好,感谢邀请,今天来为大家分享一下二零二一年一百岁属什么生肖的问题,以及和今年100岁...
阳宅辛山乙向兼酉卯布局图 辛山乙向阳宅财贵终极布局
大家好,阳宅辛山乙向兼酉卯布局图相信很多的网友都不是很明白,包括阳宅辛山乙向兼戌辰各方...
怎么通过游戏id找人对方位置 通过游戏id怎么找到一个人位置
大家好,如果您还对怎么通过游戏id找人对方位置不太了解,没有关系,今天就由本站为大家分享怎...
坐南朝东的房子风水 坐南朝东的房子风水如何
老铁们,大家好,相信还有很多朋友对于坐南朝东的房子风水和坐南朝东的房子风水好吗的相关问...
干部考察材料中的性格特点怎么写
大家好,干部考察材料中的性格特点怎么写相信很多的网友都不是很明白,包括干部考察材料中的...
阴宅常识 阴宅风水常识
大家好,感谢邀请,今天来为大家分享一下阴宅常识的问题,以及和阴宅的重要的一些困惑,大家要是...
六爻占卜解卦每日一占免费 免费六爻占卜世纪网
大家好,感谢邀请,今天来为大家分享一下六爻占卜解卦每日一占免费的问题,以及和免费占卜六爻...
摩羯男没确定关系就睡了,摩羯男想睡你是因为爱吗?
提起摩羯男没确定关系就睡了,大家都知道,有人问摩羯男想睡你是因为爱吗?,另外,还有人想问在...
男人头发粗硬运势(头发粗硬的人命运)
每个人的发质都有所不同,有的又粗又硬,有的发黄稀少,还有的柔软顺滑等很多种。那么生活中我...
三种耳朵一辈子富命 有福气的女人面相
在生活中,我们看一个人的福气多不多,往往都会观察他们的。一般来讲,那些耳朵比较大的人们,福...
属猪的桃花劫是谁,1983年属猪的桃花劫是谁
属猪的桃花劫是谁有人天生就招桃花,异性缘好的不得了,可有人虽然也犯桃花,却是烂桃花一堆,引...
夫妻木克土怎么化解,夫妻命中相克带什么化解
夫妻木克土怎么化解 五行是相邻相生,相隔相克。 相生:木生火,火生土,土生金,金生水,水生木。—...
八字喜火2022年运势,2022年哪些八字运气好
八字喜火2022年运势 八字算命最准的 的八字算命2022年运势测算产品可以帮助您测算2022年...
属虎几点出生大富大贵,几点出生的虎是懒虎
属虎几点出生大富大贵 1962年出生的属虎人,机智灵敏,反应迅速,办事效率高,为人特别有主见,他...
生辰八字看缘分,如何用生辰八字看婚姻
生辰八字看缘分 卜广鉴老师:您好! 您很久了,一直以来都觉得自己命运不是特别好,从小学习不太...
查看日历今天属什么生肖2022,2022结婚吉日
查看日历今天属什么生肖2022 还剩 70 多天,2022 年就要结束了。记得上一次推荐新年日历还...
属蛇三大坎怎么破,属蛇的女人寡妇命
属蛇三大坎怎么破 人之运势变幻莫测,很多人在求,很多人再抢,可还是有很多人默默无闻,人的命...
属虎犯冲的四个属相,虎与十二生肖相冲相克
属虎犯冲的四个属相 与属鼠人相克的属相:羊、马、兔、鸡。 鼠遇羊:有些仇恨,无同情心,没有共...
虎年属龙的运势怎么样,2022年88年属龙人运势
虎年属龙的运势怎么样 属龙天蝎座个性坚毅骁勇,有他们在的场所,气氛会比拟严肃。这样...
哪个生肖的女人最有旺夫命呢,出生月份看哪些女人有旺夫命
哪个生肖的女人最有旺夫命呢 生肖猴生肖猴的女人心思灵敏,为人处世八面玲珑,所以创意广、...
属羊的在虎年2022年运势如何,1979年未羊人2022虎年运势
属羊的在虎年2022年运势如何 属羊天蝎座是一个个性鲜明的人,这一类人能够凭仗共同之...
正月属龙人命运如何今年运,属龙的正月出生的女孩
正月属龙人命运如何今年运 属龙的人2022 年运程大全及破解 属龙人由于去年冲犯太岁,运势...
婚配五行相生相克口诀,五行相生相克婚配法
婚配五行相生相克口诀 1、五行生克 金生水,水生木,木生火,火生土,土生金, 金克木,木克土,土克水...
属虎的生个兔宝宝好不好,86年虎2023适合生兔宝宝吗
属虎的生个兔宝宝好不好 {来信求测}师傅你好,我交了一个男朋友,想让您看一下,怎样?我二人能有...
1998年属虎的性格怎么样,1998年属虎的本命年
1998年属虎的性格怎么样1998年属虎的人2022 年整体运程2022 年生肖属猪年,今年是水旺之年...
属马几日出生的更好最旺,2002年属马几月出生好
属马几日出生的更好最旺文/运势君,未经 ,, 必究! 生肖为马的人为人精明,优雅,生 带高贵气场。...
69年属鸡佩戴什么招财,属鸡人戴什么手串好
69年属鸡佩戴什么招财 如果要票选出一款“老少皆宜,男女通吃”的首饰,那宝姐肯定得投手串...
1992剑锋金配什么命,剑锋金命最忌讳什么人
1992剑锋金配什么命剑锋金五行命理中年命的一种,在六十甲子纳音中,对应壬申、癸酉年。即生...
怎么看命好不好,怎么查自己的面相
怎么看命好不好 古人云,生死由命,富贵在天。一个人的命运,好不好?有先天的因素,也有后天的修...
- 数据加载中,请稍后...