生肖年龄对照表2022,2022年属相表
最后更新 :2021.11.20 00:07
生肖年龄对照表2022
延迟退休前,我国女性退休年龄是50周岁,女干部退休年龄是55周岁,男性退休年龄为60周岁。
延迟退休成了目前我们热议的话题,很多人对延迟退休并不赞同,尤其是80后、90后,因为很多90后才工作没几年,就想着要过退休后的生活了,更多的90后希望提前退休。
但这个希望已经破灭,因为延迟退休即将落实,“十四五”规划和2035年远景目标纲要正式公布,逐步延迟法定退休年龄,有消息也称,大概在2022年正式推出方案,在2027年正式实施。
虽然不少人都认为在5年后会全面实行延迟退休,但具体的时间还是要以实际的实施时间为准的,因为早早晚晚,这个延迟退休终将会落实。
很多人都想知道具体是多大年龄退休,其实不同年龄的工人退休年龄都不一样,按照“小步调整、弹性实施、分类推进、统筹兼顾”等原则,逐步延迟法定退休年龄。

“小步调整、弹性实施、分类推进、统筹兼顾”原则的解读
小步调整——渐进式改革
延迟退休的改革不会一下实施到位,退休的年龄会慢慢向后推移,渐进式改革,也就是说女性50岁退休,在延迟退休政策落实后,一年往后增加一段退休时间。
弹性实施——增加自主选择提前退休的空间
弹性实施原则,也就是不会直接板上钉钉让所有人按照到了延迟退休的年龄退休,而是有自主选择的空间,因为身体等各方面因素影响,可以选择提前退休。
分类推进——不同群体、不同职业会有退休年龄差异
目前男性还有女性的退休年龄都是不同的,高危职业与普通职业的退休年龄也有差异,所以在延迟退休政策下,退休年龄都会后移,但依旧会保持着退休年龄差异,不会“齐步走”。
统筹兼顾——过去的退休保障措施要跟着延迟退休政策进行调整
因为有了延迟退休政策,所以过去的退休保障措施是要根据新的延迟退休政策进行调整的,需要统筹兼顾,保障大龄劳动者的创业就业权益。
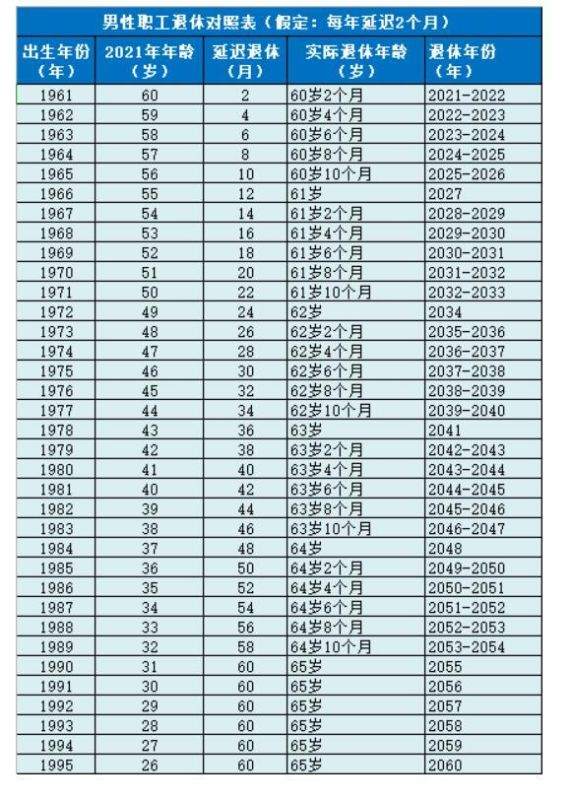
对于延迟退休的政策,很多人不能直观地了解具体多少岁退休,所以很想知道自己具体的退休年龄,但具体的延迟退休每年的调整时间还未明确。
如果按照每年延迟2个月退休这样调整的话,就有如下的表格,并非 表格,但大家可以参考一下男女退休年龄。
男职工退休年龄对照表
女职工退休年龄对照表
80、90后看到延迟退休的对照表后,不淡定了
看到上面的表格,只是按照每年延迟2个月退休做出的表格,就让很多80后和90后看后非常心酸了。
男性90后都赶上了延迟退休年龄65岁,女性90后大部分也赶上了60岁的退休年龄,很多90后感叹,65岁了还在做一个“打工人”,真心难受。

延迟退休对70后以及60后影响不大
对于60后而言,退休年龄最多也就多了1年半,原本60岁退休的男职工,可能最小的60后需要在61岁零6个月退休,这些时间似乎都可以忍受。
而70后也是一样,照比80后,还是轻松很多,最小的70后可能延迟了3年零2个月退休,相比下来影响并不是很大,而且很快就熬到了退休的年龄。
这样看来,延迟退休政策对80后和90后的影响更大,很多90后直“吃亏了”,感觉受伤的总是这群90后,三胎政策压在了90后身上,延迟退休依旧被自己赶上了。
但其实延迟退休的“弹性实施”原则,还是“拯救”了大家,因为大家还是可以以这个原则为护盾,提前退休,但估计相关的福利待遇等应该没有那么多了。

延迟退休政策比较人性化
其实很多90后在希望提前退休的同时,也有一些70后或者是80后更希望延迟退休,感觉自己60岁身体依旧很好,不上班的话,心理会有落差。
所以说延迟退休对于那些不想太早退休的人来说无疑是一个好消息,而且到了年龄想提前退休的一部分人也会有弹性选择,所以说延迟退休很有人性化。

结语:
延迟退休可能大部分人都不能接受,但实际上,延迟退休也很符合目前我国的人口年龄,目前我国60岁以上的老人占总人口数的18.7%,再过几年还会上涨。
而我国的00后人口数远远小于90后,目前出生人数也不多,所以说老龄化严重,也必然会导致延迟退休,因此年轻人们,还需努力拼二胎、三胎,希望90后、00后们担起重任。
今日讨论:
你支持延迟退休政策吗?你认为延迟退休政策对60后、70后、80后和90后谁的影响更大?欢迎在屏幕留言讨论
以上就是与生肖年龄对照表2022相关内容,是关于延迟退休的分享。看完2022年属相表后,希望这对大家有所帮助!
为什么有两字姓氏 为什么有两个字的名字
为什么有两字姓氏姓氏是一个人的家族标志,它承载着家族的历史、文化和传承。在中国,姓氏有着悠久的历史,大多数姓氏都是一个字,但也有一些姓氏是两个字。那么,为什么会有两字姓氏呢?这背后有着怎样的历史和文化背景呢?一、两...
81数理中哪个数最好 81数理最吉利的数理
标题:《探寻81数理中的最佳之数》 一、引言 在古老的数理文化中,81数理有着独特而神秘的地位。它被广泛应用于姓名学、占卜等领域,每个数理都被认为蕴含着不同的运势暗示。然而,究竟81数理中哪个数最好,这是一个充满争议且...
白水晶和紫水晶哪个好 白水晶和紫水晶哪个好
白水晶和紫水晶:各有千秋的水晶瑰宝一、引言在水晶的世界里,白水晶和紫水晶都是备受瞩目的存在。它们各自拥有独特的特性、功效以及美学价值,使得人们常常将它们进行比较。无论是水晶爱好者用于收藏,还是寻求水晶能量辅助...
为什么阴干不配阳支 阴干 阳支 阴支是什么
标题:《探究“阴干不配阳支”的缘由及相关内涵》一、引言在中国传统的干支纪年法以及与之相关的文化体系中,存在着“阳干配阳支,阴干配阴支”这样的组合规律。其中“阴干不配阳支”这一现象引起了众多学者和爱好者的探究...
王子宁名字怎么样 王子宁这个名字怎么样
王子宁名字怎么样 在探寻一个名字的魅力与内涵时,“王子宁”这个名字无疑引人入胜,值得我们深入剖析。 王子宁,这个名字给人的第一印象便是优雅与大气。“王”姓,作为中国最常见的姓氏之一,承载着深厚的历史文化底蕴。而“...
为什么小暑开运 为什么小暑大暑是一年中最热的
小暑和大暑都是我国传统的 二十四节气之一, 它们标志着夏季的不同阶段。 小暑通常在每年的7月7日左右, 而大暑则在7月23日左右。 在这两个节气之间, 气温逐渐升高, 特别是在大暑期间, 通常是一年中最热的时候。 小暑的意义...
为什么情感逐渐麻木 为什么感觉情感变得麻木了
月亮寄托情感的原因月亮作为一种自然景观,自古以来就被人们赋予了深厚的情感色彩。它不仅是美丽的象征,也是人类相思情感的载体,寄托了人们对故乡、亲人和爱人的情感。以下是月亮寄托情感的几个主要原因:1. 月亮的美学特...
女人哪里有痣不好(女人哪里有痣不好看)
女人哪里有痣不好?从医学和美容角度解析 痣,是皮肤上的一种常见的色素沉着现象,多数情况下对人体无害。但在某些文化或信仰中,痣的位置和形状被认为与个人的命运、健康或美观有关。尤其对于女性来说,痣的位置和大小可能会...
欧美歌单怎么起名(怎么给自己的歌单起名)
根据欧美歌单起名:如何为你的音乐库命名 如果你是一位音乐爱好者,那么你的音乐库肯定充满了各种欧美歌曲。为这些歌曲起一个富有创意和个性化的名字,不仅可以让你更方便地管理和查找歌曲,还可以让你的音乐库更具特色。 一...
电脑上怎么起名(电脑怎么起名字)
电脑上起名:选择一个个性化的昵称 随着科技的飞速发展,电脑已经成为了我们生活中不可或缺的一部分。然而,除了电脑的硬件配置和软件功能外,我们还可以为电脑起一个个性化的昵称,让它更加独特和易于识别。 一、选择昵称的原...
客厅有梁怎么处理好,前车之鉴10.17
客厅大梁非常多,那就不管了,直接裸露,顶面刷白就行。装修不是你隐藏掉大梁就好看了,而是整体...
玄关乱糟糟?20个玄关打造法,7个好用玄关神器,上手改起来
猜猜一个家最脏的地方是哪里呢?卫生间?厨房?生活阳台?NONONO,其实统统都不是。其实,出乎大部分...
是哪个月的生辰花(山茶花是哪个月的生辰花)
生辰花,顾名思义就是与生日有关的花卉。每个月都有一种象征着该月份特定的生辰花,这些花朵...
曲靖哪个寺庙可以算命(柳州哪个寺庙可以算命的)
曲靖是云南省的一个地级市,这里有着许多著名的寺庙。曲靖被誉为“大理石都市”,它有着丰富...
骞同哪个字(哪个字代表金) 骞与什么字同音
骞同,是两个字中的第一个字叫“骞”,也是一种具有特殊意义的姓氏。这个姓氏在我国历史上可...
麒麟应该摆放家中哪个位置较好(麒麟摆放的正确位置图片大全)
在中华文化中,麒麟被认为是一种祥瑞的象征,代表着吉祥、安宁和幸福。因此很多人喜欢在家中...
六月属鼠2017的命运如何(2017年六月初六出生的人命运)
2017年,六月属鼠的朋友们经历了许多人生起伏,命运可谓是时起时落。然而,总体来说,这一年对于...
22年流年飞星 22年流年飞星布局
以下是22年流年飞星的情况:太岁:在2022年,太岁星位于东南方向,主要影响属鼠、属蛇和属猴的人...
玄奥六爻排盘宝 六爻玄空排盘宝
大家好,感谢邀请,今天来为大家分享一下玄奥六爻排盘宝的问题,以及和玄奥六爻排盘软件的一些...
2016年姓吴宝宝起名 2021年吴姓宝宝取名
大家好,如果您还对2016年姓吴宝宝起名不太了解,没有关系,今天就由本站为大家分享2016年姓吴...
曾仕强易经讲解坤卦 曾仕强解读乾坤卦
其实曾仕强易经讲解坤卦的问题并不复杂,但是又很多的朋友都不太了解曾仕强易经坤卦详解,因...
易经参赞天地之化育的意思 参赞天地之华育 周易
大家好,今天来为大家解答易经参赞天地之化育的意思这个问题的一些问题点,包括赞天地之化育...
十二生肖之猴今年多大 十二生肖猴今年多大岁数
各位老铁们好,相信很多人对十二生肖之猴今年多大都不是特别的了解,因此呢,今天就来为大家分...
易经成书史下载 《周易》古经成书于
大家好,感谢邀请,今天来为大家分享一下易经成书史下载的问题,以及和易经成书年代的一些困惑...
看相大叔每日运势如何 大叔周运势
大家好,今天来为大家解答看相大叔每日运势如何这个问题的一些问题点,包括容易找大叔的八字...
周易生辰八字五行免费查询 生辰八字查询五行查询
大家好,今天给各位分享周易生辰八字五行免费查询的一些知识,其中也会对免费查生辰八字五行...
2020年的鼠财运方位 2020年属鼠人的财运在哪个方位
各位老铁们好,相信很多人对2020年的鼠财运方位都不是特别的了解,因此呢,今天就来为大家分享...
2020年9月12号可以装修吗(2020年农历12月可以装修吗)
查快黄历挑选吉日,已经成为大家习以为常的事情,办理重大的事情,大家都会通过黄历来查询适合...
?天生不容易老的八字(不老的八字特征)
每个人都都希望自己能够永葆青春,但是岁月是把杀猪的刀,它会把我们的美貌夺走,但是有一些人...
属蛇人和属羊人婚姻,女蛇男羊的姻缘
属蛇人和属羊人婚姻 (此处已添加小程序,请到今日客户端查看) 生肖虎VS生肖兔 虎人比较威武...
今日运势小运播报8月19日,天蝎座今日运势查询运
今日运势小运播报8月19日 一命二运三风水,运势走向别漏追小运播报:2022 年8月19日,星期一,农...
91年属羊姻缘怎么样,1991年属羊男命好不好
91年属羊姻缘怎么样 属羊人1991年属羊有几次婚姻 姻缘如何夫妻之间最重要的是要坦诚相对...
2002到2022年几岁,生日加岁数等于2022
2002到2022年几岁 2022 年生肖年龄详细对照表 十二生肖在2022 年都几岁了 我们每个...
属虎的和什么属相最配更好,属虎和女虎相配吗
属虎的和什么属相最配更好 属虎的男性和什么属相的女性最配: (1)属虎男+属马女婚配 你们...
2022年属龙运势测算,1976年的龙45岁后的财运
2022年属龙运势测算 天秤座 2022年全年概述: 天秤座,你是一个调和、外交风的星座,但你也有...
1976年到现在多少岁,76年属龙46岁有牢狱之灾
1976年到现在多少岁 76年属龙人如今正是上有老下有小的年龄段,生活和工作压力都很 1976年...
2022年正版管家婆,2022 年142期管家婆
2022年正版管家婆19家企业 69个岗位,招148人 应 聘 方 式 直达页面投递简历 01上海生农...
生肖马一生的财运贵人,马的贵人生肖是什么
生肖马一生的财运贵人 俗话说遇贵则发,很多时候贵人能够帮助我们的不仅仅是指点迷津,更能...
麦玲玲生肖运2022,苏民峰2022 年生肖运程
麦玲玲生肖运2022 麦玲玲属狗2022年运势2022 年十二生肖运势狗 注意!2022 年运势下滑的三...
- 数据加载中,请稍后...