紫微斗数免费下载命盘,文墨天机紫微斗数
最后更新 :2021.11.13 00:42
紫微斗数免费下载命盘
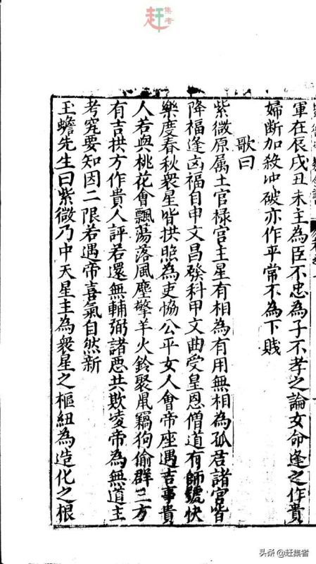
此《新锓希夷陈先生紫微斗数全书》托名宋初陈抟(希夷先生)著,由明代潘希尹补辑。全书共七卷, :太微赋、形性赋、斗数骨髓赋注解、定富贵贫贱等诀、安身命例、安十二宫例、论兄弟诀、论妻妾诀、论子女诀、论人命入格、古今富贵贫贱夭寿命图、批命活套等。此为明代南阳堂刊本。
紫微斗数为中国古代算命的之一,用阴历之出生年月日和时辰来排个人命盘,进而窥探吉凶;命盘形式,分十二宫垣,以干支为经纬,星宿罗布,将中天诸星、北斗诸星、南斗诸星、神煞等诸星列置其中;其排盘毋需查阅星历,与西洋占星学有所不同,而是透过命宫之纳音五行数先推算出紫微星位置,其余中、南、北三斗等共 13 颗星位置再因紫微星而排定,含紫微星在内共主星 14 颗,也因以紫微星为首,故称为 “紫微斗数”。
目录
卷一:太微赋、形性赋、星垣论、斗数准绳、续形性赋、发微论、斗数彀率、增补太微赋、星垣问答论
卷二:斗数骨髓赋注解、女命骨髓赋注解、增补太微赋注解、补遗骨髓赋注解、定富贵贫贱等诀、定富贵贫贱十等论、十二宫诸星得地诀、十二宫诸星失陷诀、诸星得地富贵论、诸星失陷贫贱论、定富贵贫贱、定杂局
卷三:安身命例、安十二宫例、起五寅例、花甲纳音歌、安南北斗星诀、安文昌文曲星诀、安左辅右弼星诀、安天魁天钺诀、安天马诀安禄存星诀、安擎羊陀罗二星诀、安火铃二星诀、安禄权科忌诀、安天空地劫诀、安天伤天使诀、安十二宫太岁煞禄神歌诀、安天刑天姚星诀、安三台八座诀、安天哭天虚诀、安龙池凤阁诀、安台辅诀、安封诰诀、安长生沐浴歌诀、安红鸾天喜诀、安四飞星诀、安斗君诀、安天德月德解神诀、安飞天三煞诀、安截路空亡诀、安旬中空亡诀、安大限诀、安小限诀、安童限诀、安命主、安身主、安金锁铁蛇关、安男女竹箩三限诀、安十二宫强弱诀、定十二宫星辰落闲宫诀、安流禄流羊流陀诀、论星辰生克制化、论诸星分属南北斗并分属五行诀、定金木水火土局、安紫微天府图、伤使祸福紧慢图、禄权科忌图、十二宫庙旺落陷图、论命宫诀
卷四:论兄弟诀、论妻妾诀、论子女诀、论财帛诀、论疾厄诀、论迁移诀、论奴仆诀、论官禄诀、论田宅诀、论福德诀、论父母诀
卷五:谈星要论、论人命入格、论格星数高下、论男女命异同、论小儿命、定小儿生时诀、论人生时安命吉凶、论人生时要审的确、论小儿克亲、论命先贫后富、论大限十年祸福何如、论二限太岁吉凶、论行限分南北斗、论流年太岁吉凶煞星、论阴骘延寿、论羊陀迭并、论七杀重逢、论大小限星辰过十二宫遇十二支人所忌诀、论立命行宫歌、论太岁小限星辰庙陷遇十二宫中吉凶、论诸星同位垣各所宜分别富贵贫贱夭寿
以上就是与紫微斗数免费下载命盘相关内容,是关于紫微斗数的分享。看完文墨天机紫微斗数后,希望这对大家有所帮助!
张锦的名字怎么样 张锦起名字
张锦的名字怎么样 张锦这个名字在传统文化中有着丰富的内涵和寓意。从姓名学的角度来看,张锦这个名字的五行配置为木金金,据分析,这个名字的成功运不佳,可能暗示着在人生的某些方面可能会遇到挑战和困难。然而,名字的整体...
地支为什么相冲 地支为什么相合
在中国传统的命理学中, 地支相合是一个重要的概念, 它指的是地支中某些特定的组合相互作用, 产生特殊的影响和变化。 地支相合不仅存在于八字命理中, 也是易经哲学的一部分。 根据搜索结果, 我们可以了解到地支相合主要有...
如何看出两人是情侣 怎么看出两个人是情侣
在当今社会, 情侣之间的关系表现形式多样,传统的秀恩爱方式已经不足以证明两个人是否为 情侣。 因此,判断两个人是否为情侣需要从多个角度综合考量。 1. 表达方式与行为特征 情侣之间通常会有某些特定的表达方式和行为特...
卧室放镜子放在哪里(卧室镜子放在哪里最旺财)
客厅的表挂哪里好打造?优雅生活空间的秘诀 在客厅中,挂表不仅是时间的显示工具,更是家居装饰的重要元素。那么,客厅的表应该挂在哪里呢?选择合适的位置能够让挂表成为客厅的亮点,增添优雅与品味。 首先,挂表的位置应该与客厅...
女人的痣长在哪里不好(女人的痣长在哪里最好图片 克夫)
女人的痣长在哪里不好?痣相学中的警示与注意 在中华文化中,痣相学一直是一个备受关注的话题。人们经常通过痣的位置和形状来推测一个人的性格、命运和健康状况。对于女性而言,痣的位置更是关系到家庭、婚姻和事业。那么,...
财务公司名称有哪些(财务公司名称大全)
财务公司名称对于公司来说非常重要,因为它不仅是公司品牌形象的重要组成部分,还能反映公司的业务定位和核心竞争力。本文将探讨如何选择合适的财务公司名称,并介绍一些成功的财务公司名称案例。 首先,选择合适的财务公司...
财位的风水禁忌,你造吗?
大家都知道财位在哪里,可是对于财位上的禁忌就很模糊,财位上摆的东西不合适不仅不会给你带...
王思聪又深夜选妃?现身酒吧被曝面见20多名女性,王大陆疑似在场
8月16日晚,有网友在社交平台上更新一则视频,爆料富二代王思聪近日现身酒吧,玩儿得不亦乐乎...
约女生第一次出来送点什么小礼物 约女生送什么礼物
约女生第一次出来送点什么小礼物 约女生送什么礼物作者:小蔓更新日期:2023-05-20 21:58...
印堂红是怎么回事儿(印堂有竖红印怎么回事)
印堂红,又称为“太阳穴”,是指人体额部两侧的位置。它的颜色通常呈现出红色,是因为这个位置...
命理集锦 命理大全精解
命理学是一门研究人的生辰八字、面相、姓名、风水等因素对人的命运和性格的影响的学科。...
2023年属狗的全年运程详解 属狗2023年属狗运势和运
2023年是农历狗年,属狗的人在本命年的运程会有些波动和变化,但总体来说,运势还是较为平稳的...
甲子日柱财运方位 甲子日柱运势
老铁们,大家好,相信还有很多朋友对于甲子日柱财运方位和甲子日柱论命的相关问题不太懂,没关...
六爻起卦名 六爻卦怎么起
大家好,今天来为大家分享六爻起卦名的一些知识点,和六爻姓名起卦的问题解析,大家要是都明白...
免费算命免费周易在线 中华周易算命免费算命
各位老铁们好,相信很多人对免费算命免费周易在线都不是特别的了解,因此呢,今天就来为大家分...
朱姓起名字男孩 朱姓取名男孩
大家好,朱姓起名字男孩相信很多的网友都不是很明白,包括朱姓起名字男孩子也是一样,不过没有...
猴和羊生肖配对姻缘 生肖猴与羊的配婚姻
大家好,关于猴和羊生肖配对姻缘很多朋友都还不太明白,不过没关系,因为今天小编就来为大家分...
厨房风水实例 厨房风水讲解
各位老铁们好,相信很多人对厨房风水实例都不是特别的了解,因此呢,今天就来为大家分享下关于...
俄罗斯乌克兰战争预测易经 乌克兰国内战争
其实俄罗斯乌克兰战争预测易经的问题并不复杂,但是又很多的朋友都不太了解乌克兰俄罗斯战...
公司起名字大全免费,高端大气的公司名字
提起公司起名字大全免费,大家都知道,有人问高端大气的公司名字,另外,还有人想问2021公司取名...
婚姻属相配对可信吗,属相婚配害人不浅
婚姻属相配对可信吗 图文摘自 络(如有 ,请 )十二生肖是十二地支的形象化代表,随着历史的发展...
美国神婆2022年全年星座运势,2022年必倒霉的星座
美国神婆2022年全年星座运势白羊座 白羊座2022 年财运运势 白羊在2022 年,赚钱的机遇比较...
属猪的幸运挂件,属猪2022 带什么饰品旺财
属猪的幸运挂件 生肖是我们专属的的民俗文化符号 十二生肖属相与十二地支相配 以人出生...
中午1点至3点时辰好不好,备孕前三个月注意事项
中午1点至3点时辰好不好 现代社会,我们有很多可以计量时间,但是在古代,人们是如何计量时...
72年属鼠的运程,72年属鼠的每天运明
72年属鼠的运程 1972年属鼠人2022 年运势及运程详解 生肖属鼠的朋友,进入2022 年戊戌狗年...
属马人2022年爱情运势,属马的六个合贵人图片
属马人2022年爱情运势 作为风象星座的一员天秤座,很少会表现出对自由的渴望,但他们却渴望...
八字测算2022年流月运势,2022流年运势
八字测算2022年流月运势 俗话说小年过了就是年,几天过后狗年就正式拉开序幕了。从去年年...
2022年属羊的运势和财运,79年属羊43岁2022劫难
2022年属羊的运势和财运 (一)性格 属羊的人乐善好施者,为人正直、亲切,易被别人的不幸经历所...
1942年属蛇的今年多大,1942年1月出生到现在是几岁
1942年属蛇的今年多大 都说世上没有相同的两片树叶,人也是一样,每个人都是独立的。但是我...
黄金貔貅宝宝的讲究和忌讳,带貔貅的讲究和忌讳
黄金貔貅宝宝的讲究和忌讳 什么是貔貅?从很早以前开始,人们就喜欢佩戴一些有着吉祥寓意的...
属兔男睡了你之后,属免男是什么
属兔男睡了你之后 世界上没有无缘无故的爱,一个人非常的喜欢你,自然是有他的原因。有的人...
2022生肖年龄对照表,27岁属什么生肖的
2022生肖年龄对照表 2022 年生肖年龄详细对照表 十二生肖在2022 年都几岁了 我们每...
83年属猪的今年婚姻怎么样,1983年属猪男婚姻状况
83年属猪的今年婚姻怎么样 1983年的猪婚姻状况如何?婚姻与我们每一个人都有着密切的关系,...
十二生肖属性表,生肖属性对照表
十二生肖属性表《十二生肖》 一是老鼠吱吱叫,二是牛儿尾巴摇。 三是老虎威风到,四是白兔蹦...
96年鼠是什么命女巨蟹座,2003年生巨蟹座女孩命运如何
96年鼠是什么命女巨蟹座 基本个性 巨蟹座肖鼠者天资聪颖,惹人喜爱。你是月亮之子,因而情...
生肖羊和什么属相,属羊人婚姻与命运
生肖羊和什么属相生肖羊的幸福婚配 次吉只寻蛇龙兔, 克子表夫鼠牛狗, 生儿育女最宜猪, 旺财...
属蛇男的更佳婚配是什么,男属蛇婚配什么属相好
属蛇男的更佳婚配是什么 65年属蛇男爱情婚姻怎么样?蛇年出生的男性非常浪漫,他们身上有一...
性变态的女命八字特征,八字命盘解析
性变态的女命八字特征 在八字中,星煞、十神、用神、喜神等等这些术语,都是算命先生为判断...
六三年属兔的明年好吗,63年属兔56岁有一灾
六三年属兔的明年好吗 1963年属兔的人2022 年运势及运程 1963年生肖属兔的朋友,在2022 年...
福名阁婚姻测算,周易测算免费
福名阁婚姻测算 你不知道ta对你什么感觉?更不知道你在ta心中有多重要?想要知道对方心里...
- 数据加载中,请稍后...